The editor’s choice for our October issue is “The evolution, complexity and diversity of models of long-term forest dynamics” by Harald Bugmann and Rupert Seidl. Here, Associate Editor Pieter Zuidema explains the importance of this research:
Forests worldwide are confronted with a multitude of changes: climate change, increasing disturbances such as fires, and shifting societal demands. Forest dynamics models are a crucial tool to study the effects of those changes on the functioning of forests. These models are applied at scales of forest stands to the globe, from landscapes to continents, and from the boreal to the tropical forest biome. Some are used within Earth system models to evaluate atmosphere-biosphere interactions under climate change and end up in IPCC reports. Some have a long history; others are rather new. The high diversity of models is a virtue – as there is ample choice – but may also cause confusion for forest researchers. For instance, what model to use for what purpose? How different or similar are models, and their output? What are stronger and weaker points of models? In their review of forest dynamics models, Bugmann & Seidl provide a much needed and very useful overview of forest dynamics models.
The paper organizes dozens of forest dynamics models, explains their developmental history and assesses their complexity and functioning. The authors take the JABOWA model as the basis, which was published exactly 50 years ago in Journal of Ecology (Botkin, D. B., Janak, J. F. & Wallis, J. R. (1972b) Some ecological consequences of a computer model of forest growth. J. Ecol., 60, 849-872). This ‘forest simulator’ made use of recent advances in computer speed to simulate forest gap dynamics at stand level during a century. It realistically represented dynamics and forest regrowth as a function of elevation and soil quality. JABOWA was applied to temperate forests in Northern America, but “the underlying concepts of the simulation are general”. Such generic “underlying concepts” based on physiological and ecological theory are a defining aspect of all forest dynamics models, and set them apart from statistical models.
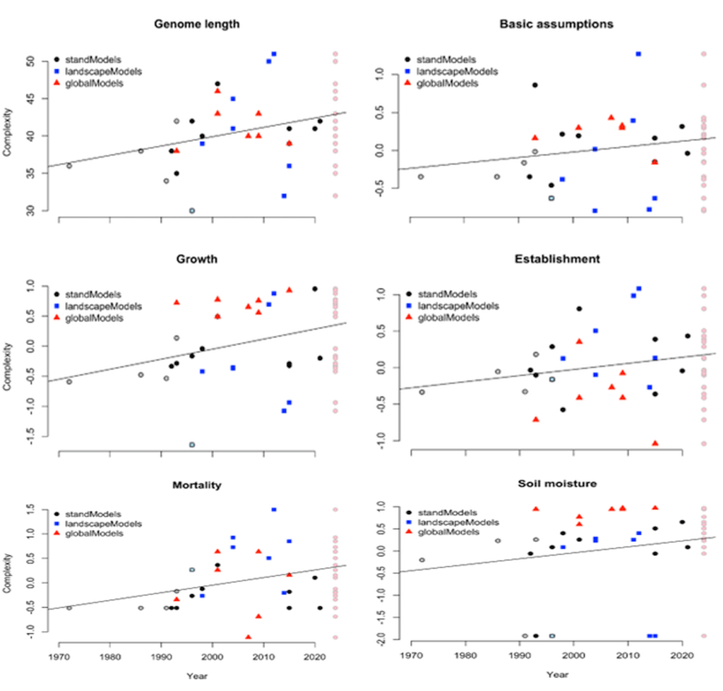
In their paper, Bugmann & Seidl evaluate the development of model complexity and attributes during the 50 years since ‘JABOWA’. They first identify ten ‘founder’ models, defined as those models which “introduced new concepts or pioneered novel approaches”. Among these are the well-known global vegetation models LPJ-GUESS, SORTIE and HYBRID. Interestingly, half of the founder models are still in use. The authors then identify an additional set of 18 models which are currently in use. For all 28 models they perform a detailed analysis of complexity in each of five categories: basic model characteristics (e.g., spatial resolution), tree growth, tree mortality, tree establishment and soil moisture. When plotting model complexity against calendar year of first model publication, positive relations were found for all categories. In other words: model complexity has increased over time.
In addition to the analysis of complexity per category, the authors also obtained an estimate of overall model complexity. They did so using an elegant and intuitive approach by treating each of 52 model attributes as ‘genes’ of a model. Examples of such genes are how light response is modelled, whether and how fire is included, or what type soil moisture profile is included. The genome length was then used as a proxy of overall model complexity and was shown to also increase over time.

But how do models differ? Using information on the complexity of each of the 52 model attributes, the authors performed cluster analyses to reveal 5 distinct clusters. One of these clusters contains severak dynamic global vegetation models, which are characterized by high complexity in growth processes (photosynthesis, respiration, canopy structure) and relative simplicity in simulating establishment. Three other clusters are also defined by the scale of their application: two operate at stand-level; one at landscape level. In these models, mortality and establishment are modelled with higher degree of detail. The final cluster contains nicely ‘balanced’ models that have a high degree of complexity across all five categories.
So, what model to choose? This depends on the specific purpose and scale of analysis. If your aim is to simulate effect of disturbances at stand level, or connectivity at landscape scale, you can select one of the stand/landscape models. If it is to simulate effects of climate change on forests at local or continental scale, you would rather choose one of the dynamic (global) vegetation models. Clearly, your choice also depends on data availability. The Bugmann & Seidl paper is a helpful go-to resource to conduct a pre-selection of candidate models based your aims, scale and data. It will not make forest modelling easier, but does help in choosing the appropriate model for your study.
